Contents
- 1 Задание 1.Стартовая уровневая работа по МАТЕМАТИКЕ 10 класс, 25 сентября 2018 года (профильный уровень)
- 2 Задание
- 3 Задание 3
- 4 Задание 4.Стартовая уровневая работа по МАТЕМАТИКЕ 10 класс, 25 сентября 2018 года(профильный уровень)
- 5 Задание 5
- 6 Задание 6.Стартовая уровневая работа по МАТЕМАТИКЕ 10 класс, 25 сентября 2018 года(профильный уровень)
- 7 Задание 7.Стартовая уровневая работа по МАТЕМАТИКЕ 10 класс, 25 сентября 2018 года(профильный уровень)
- 8 Задание 8
- 9 Задание 9.Стартовая уровневая работа по МАТЕМАТИКЕ 10 класс, 25 сентября 2018 года(профильный уровень)
- 10 Задание 10
- 11 Задание 11.Стартовая уровневая работа по МАТЕМАТИКЕ 10 класс, 25 сентября 2018 года(профильный уровень)
- 12 Задание 12
- 13 Задание 13
- 14 Задание 14
Задание 1.Стартовая уровневая работа по МАТЕМАТИКЕ 10 класс, 25 сентября 2018 года (профильный уровень)
Найдите значение выражения:
(6,9 + 4,1)/0,2.
Решение
(6,9 + 4,1)/0,2 = 11/0,2 = 110/2 = 55.
Ответ: 55.
Задание
Найдите значение выражения:
Решение
Ответ:
Задание 3
На графике изображена зависимость температуры от времени в процессе разогрева двигателя легкового автомобиля при температуре окружающего воздуха 10 C° . На горизонтальной оси отмечено время в минутах, прошедшее с момента запуска двигателя, на вертикальной оси — температура двигателя в градусах Цельсия. Когда температура достигает определённого значения, включается вентилятор, охлаждающий двигатель, и температура начинает понижаться.

Определите по графику, сколько минут прошло с момента запуска двигателя до включения вентилятора.
Решение
Из графика видно, что крутящий момент равен 20 при 500 оборотах в минуту.
Ответ: 500.
Задание 4.Стартовая уровневая работа по МАТЕМАТИКЕ 10 класс, 25 сентября 2018 года(профильный уровень)
Найдите корень уравнения:
1/√x = 2/3.
Решение
Ответ: 2,25
Задание 5
Человек стоит на расстоянии 12,3 м от столба, на котором висит фонарь, расположенный на высоте 10 м. Длина тени человека равна 2,7 м. Какого роста человек (в метрах)?
Решение
Здесь имеем два подобных треугольника (подобны по трем углам)

Ответ: 1,8.
Задание 6.Стартовая уровневая работа по МАТЕМАТИКЕ 10 класс, 25 сентября 2018 года(профильный уровень)
Перед началом футбольного матча судья бросает монетку, чтобы определить, какая из команд будет владеть мячом в начале матча. Команда «Физик» играет два матча с двумя другими командами. Найдите вероятность того, что в начале матча один раз мяч получит команда «Физик», а другой раз мяч получат соперники.
Решение
Р(А) = m / n
Где Р(А) – вероятность события А, m – число благоприятствующих исходов этому событию, n – общее число всевозможных исходов.
- А – событие, при котором оба раз мяч выиграет «Физик»;
- Р(А) – вероятность того, что оба раз мяч выиграет «Физик».
Определим m и n:
- m — число благоприятствующих этому событию исходов, то есть число исходов, когда «Физик» хотя бы один раз выиграет мяч, то есть.
- n – общее число всевозможных исходов, оно равно общему количеству исходов:
- m = 3.
- n = 4.
Вероятность того, что «Физик» хотя бы один раз выиграет мяч:
Р(А) = 3 / 4 = 0, 75
Ответ: 0,75.
Задание 7.Стартовая уровневая работа по МАТЕМАТИКЕ 10 класс, 25 сентября 2018 года(профильный уровень)
Установите соответствие между величинами и их возможными значениями: к каждому элементу первого столбца подберите соответствующий элемент из второго столбца.
|
|
В таблице под каждой буквой, соответствующей величине, укажите номер её возможного реального значения.
Решение
- Маленькая величина — продолжительность вспышки фотоаппарата. Время составляет 0,1 секунды.
- Следующая по величине — длительность звучания одной песни, 3,5 минуты.
- Длительность полнометражного фильма, которая может быть равна 105 минут.
- Самая большая величина — время одного оборота Земли вокруг Солнца. Оно составляет 365 суток.
Ответ:
A Б В Г 3 2 1 4
Задание 8
При строительстве дома фирма использует один из типов фундамента: каменный или бетонный. Для каменного фундамента необходимо 9 тонн природного камня и 9 мешков цемента. Для бетонного фундамента необходимо 7 тонн щебня и 50 мешков цемента. Тонна камня стоит 1600 рублей, щебень стоит 780 рублей за тонну, а мешок цемента стоит 230 рублей. Сколько рублей будет стоить материал для фундамента, если выбрать наиболее дешёвый вариант?
Решение
- Фундамент из камня:
9 · 1600 + 9· 230 = 16470 рублей стоимость для каменного фундамента.
- Фундамент бетонный:
7 · 780 + 50 · 230 = 16960 рублей стоимость для бетонного фундамента.
Ответ: Стоимость материала для фундамента 16470 рублей.
Задание 9.Стартовая уровневая работа по МАТЕМАТИКЕ 10 класс, 25 сентября 2018 года(профильный уровень)
Выберите верные утверждения.
- 1) Все точки окружности равноудалены от её центра.
- 2) Диагонали любого квадрата параллельны.
- 3) Длина любой стороны треугольника равна половине медианы, проведённой к ней.
- 4) Диаметр окружности, описанной около прямоугольника, равен его диагонали.
В ответе укажите номера верных утверждений без пробелов, запятых и других дополнительных символов.
Решение
- Верно.
- Нет.
- Неверно.
- Верно.
Ответ:14.
Задание 10
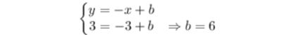
Напишите формулу линейной убывающей функции, график которой проходит через точку (3;3).
Решение
y = kx +b — линейная функция, если она убывающая, то k < 0.
Остаётся придумать такую функцию, чтобы она проходила через заданную точку (3;3).
Выберем любой k < 0, и подставим координаты точки, чтобы найти b.

Ответ: y = -x + 6.
Задание 11.Стартовая уровневая работа по МАТЕМАТИКЕ 10 класс, 25 сентября 2018 года(профильный уровень)
Прямая y=2x+b касается графика функции y=x2-2x+3.
- а) Найдите координаты точки касания.
- б) Постройте график функции и касательной к ней на координатной плоскости.
Задание 12
Сумма двух углов ромба равна 120° , а его периметр равен 32. Найдите расстояние между противоположными сторонами ромба.
Решение

Ответ: 8.
Задание 13
Найдите, при каких значениях x функция:
y = (4x — 3 — x²)²
принимает наименьшее значение.
Решение

Ответ: 1, 4.
Задание 14
Междугородний автобус курсирует между Рыбинском и Ярославлем с остановкой в Тутаеве. В один конец путь занимает 2 часа, остановка в Тутаеве длится 20 минут. На рисунке показан график движения автобуса, выехавшего в 8:00.

С какой средней скоростью должен ехать автомобиль, выехавший спустя 40 минут после старта автобуса, чтобы добраться до Ярославля одновременно с автобусом? Ответ дайте в км/ч.
Решение
Время, за которое автомобиль должен догнать автобус:t = 2 ч — 40 мин = 1 ч 20 мин.
1 ч 20 мин = 1(1/3) ч.
Подставим данные под формулу скорости:
U = S/t
На графике видно, что расстояние от Рыбинска до Ярославля — 90 км, т.е. S = 90.
U = 90 / 1(1/3) = 90 / (4/3) = 90 * (3/4) = 270 / 4 = 67,5 км/ч
Ответ: 67,5 км/ч.
