Contents
- 1 Задание №01
- 2 Задание №02. Решение варианта №207 ОГЭ по математике
- 3 Задание №03
- 4 Задание №04
- 5 Задание №05
- 6 Задание №06
- 7 Задание №07
- 8 Задание №08
- 9 Задание №09. Решение варианта №207 ОГЭ по математике
- 10 Задание №10
- 11 Задание №11
- 12 Задание №16. Решение варианта №207 ОГЭ по математике
- 13 Задание №21. Решение варианта №207 ОГЭ по математике
- 14 Задание №22
- 15 Задание №23
- 16 Задание №24
- 17 Задание №25 Решение варианта №207 ОГЭ по математике
- 18 Задание №26
- 19 Видео Решение варианта №207 ОГЭ по математике Ларина
Задание №01
Найдите значение выражения:

Решение

Ответ: -2.25.
Задание №02. Решение варианта №207 ОГЭ по математике
| Отправление от ст. Нара | Прибытие на Киевский вокзал |
| 06:37 | 07:59 |
| 07:02 | 08:06 |
| 07:16 | 08:30 |
| 07:31 | 08:52 |
Студент Петров выезжает из Наро-Фоминска в Москву на занятия в университет. Занятия начинаются в 9:00. В таблице приведено расписание утренних электропоездов от станции Нара до Киевского вокзала в Москве.
Путь от вокзала до университета занимает 40 минут. Укажите время отправления от станции Нара самого позднего из электропоездов, которые подходят студенту.
1) 06:37 2) 07:02 3) 07:16 4) 07:31
Решение
Необходимо приехать не позднее , чем 8: 20. Проходит 1 и 2 поезда. Из них самый поздний под номером 2.
Ответ: 2
Задание №03
На координатной прямой отмечены числа a, b и c. Какое из следующих утверждений об этих числах верно?

Решение

Ответ:
Задание №04
Найдите значение выражения √(5*45)*√80.
Варианты ответа:
- 60√6
- 80√3
- 60√5
- 80√2
Решение
√(5*45)*√80 = √(5*9*5*16*5) = √(3²*4²*5²) = 60√5
Ответ: 60√5 — 3 вариант
Задание №05
На рисунке изображен график движения автомобиля из пункта А в пункт В и автобуса из пункта В в пункт А . На сколько километров в час скорость автомобиля больше скорости автобуса?

Решение
Пройдено расстояние S = 240 км.
Автомобиль затратил 3 часа ⇒ скорость:
v1 = км\ч .
Автобус 5 часов , тогда его скорость:
км\ч .
Разница: 80 — 48 = 32 км\ч.
Ответ: 32
Задание №06
Решите уравнение:
Решение
2x−40 = 5x+20
−3x = 60
Ответ: -20
Задание №07
Число хвойных деревьев в парке относится к числу лиственных как 8 : 17. Сколько процентов деревьев в парке составляют хвойные?
Решение
Число хвойных — 8x, тогда лиственных — 17x.
Всего деревьев 8x+17x=25x.
Тогда процент хвойных:
%
Ответ: 32%
Задание №08

Какая из следующих круговых диаграмм показывает распределение оценок за контрольную работу по алгебре в 9 классе, если пятерок в классе примерно 35% всех оценок, четверок – примерно 23%, троек – примерно 25% и двоек – примерно17%?
Решение
Правильный график 2.
Ответ: 2
Задание №09. Решение варианта №207 ОГЭ по математике
В магазине канцтоваров продается 118 ручек, из них 32 — красные, 39 — зеленые, 7 — фиолетовых, еще есть синие и черные, их поровну. Найдите вероятность того, что при случайном выборе одной ручки будет выбрана зеленая или черная ручка.
Решение
1) Найдем число синих и черных ручек по отдельности:
(118 — 32 — 39 — 7) : 2 = 20 (ручек) — синих и черных.
2) Вероятностью того, что будет выбрана зеленая или черная ручка:
Р(А) = (39 + 20)/118 = 59/118 = 0,5.
Ответ: 0,5
Задание №10

На рисунке изображены графики функций вида y = kx+b. Установите соответствие между графиками функций и знаками коэффициентов k и b.
- k<0, b<0
- k<0, b>0
- k>0, b>0
- k>0, b<0
Решение
При k>0 — прямая расположена в 1 и 3 координатных четвертях, k<0 — 2 и 3.
При b>0 — прямая пересекает Oy над Ox, b<0 под Ox, тогда:
- 3
- 4
- 1
Ответ: 341
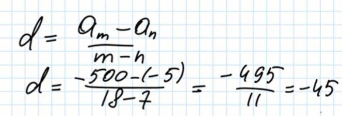
Задание №11
Решение

Ответ: -45
Задание №16. Решение варианта №207 ОГЭ по математике
В треугольнике АВС углы А и С равны 70° и 50° соответственно. Найдите угол между высотой ВН и биссектрисой BD.
Решение
- :
Ответ: 10
Задание №21. Решение варианта №207 ОГЭ по математике
Решите уравнение (x+2)4 + (x+4)4 = 82
Решение

Ответ: -5; -1.
Задание №22
Два бегуна стартовали один за другим с интервалом в 2 мин. Второй бегун догнал первого на расстоянии 1 км от точки старта, а пробежав еще 4 км, он повернул обратно и встретился снова с первым бегуном через 20 мин после старта первого бегуна. Найдите скорость второго бегуна.(Ответ выразить в км/ч).
Задание №23
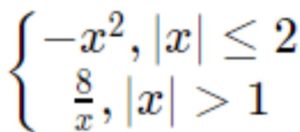
Постройте график функции:

и определите, при каких значениях а прямая y=а будет иметь с графиком ровно одну общую точку
Решение
Построим график функции:
и оставим часть при ∣x∣ ≤ 2 (x ∈ [−2; 2]).
Построим при x
1 общая точка при
Ответ: -5; -1.
Задание №24
Перпендикуляр, опущенный из вершины параллелограмма на его диагональ, делит ее на отрезки длиной 6 и 15 см. Найти длины сторон параллелограмма, если одна из них на 7 см больше другой.
Задание №25 Решение варианта №207 ОГЭ по математике
В равностороннем треугольнике ABC точки Е, F, K — середины сторон АВ, ВС, СА соответственно. Докажите, что треугольник ЕFK — равносторонний.
Решение
- AE = EB и BF = FC, ⇒ EF- средняя линия и EF=0,5 AC
- FK = 0,5 AB и EK = 0,5 BC, но AB=BC=AC EF = FK = EK
Ответ: треугольник ЕFK — равносторонний
Задание №26
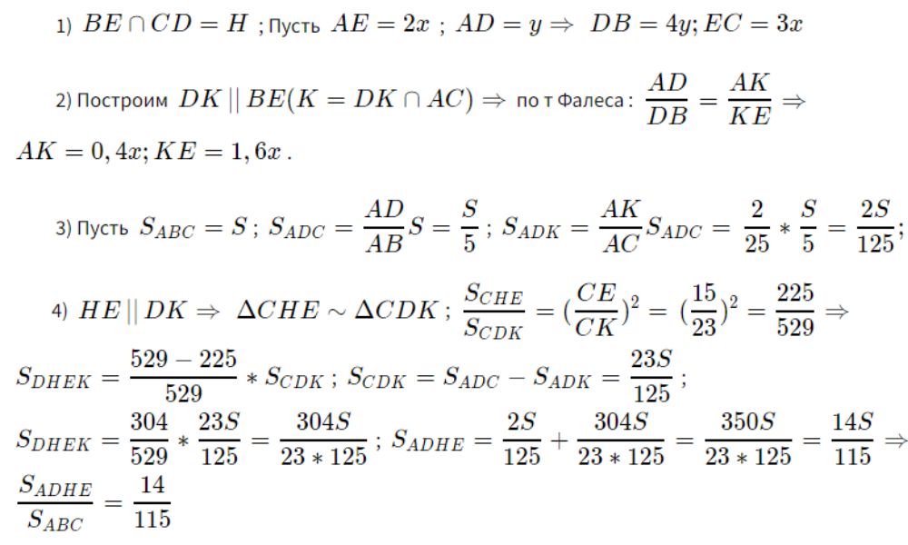
Дан треугольник АВС, на стороне АС взята точка Е так, что АЕ : ЕС = 2: 3 , а на стороне АВ взята точка D так, что АD : DB = 1: 4 . Проведены отрезки СD и ВЕ.
Найдите отношение площади получившегося четырехугольника к площади данного треугольника.
Решение

Ответ: 14/115
